Skip to main content
Browse
Search
Start Free Trial
Sign in
Start Free Trial
Sign In
Live stream preview
Watch this video and more on TutorChase Video
Watch this video and more on TutorChase Video
Start your free trial
Already subscribed?
Sign in
A Level Maths
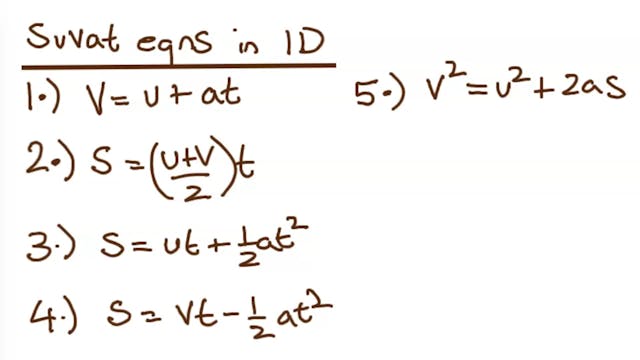
3.18_ 3 Kinematics - Using the suvat equations
17m
Share with friends
Facebook
Twitter
Email
Share on Facebook
Share on Twitter
Share via Email
Up Next in
18 - Forces and Newton's Laws
16:19
3.18_ 4 Kinematics - Variable accele...
3.18_ 4 Kinematics - Variable accele...
18:06
3.18_ 5 Kinematics - Motion under gra...
3.18_ 5 Kinematics - Motion under gra...
15:35
3.18_ 6 Kinematics - Deriving the suv...
3.18_ 6 Kinematics - Deriving the suv...